GTS classics
  • Home
  • Classic Seats
    • Weight and dimensions
    • Installation video
    • Avus
    • Brands Hatch
    • Corsica
    • Coppa
    • Dakar
    • Flying Buttress
    • GranTurismoSport
    • Hockenheim
    • Hot Rod Zeppelin
    • LeMans
    • Lollipop
    • MonteCarlo
    • Monza
    • Nurburgring
    • PanAM
    • Rallye
    • R Seat
    • Rennsport
    • RSR
    • SanRemo
    • Sebring
    • Solitude
    • Spa-Francorchamps
    • Sport S
    • ST
    • Targa
    • TransAM
    • Vallelunga
    • VicElford
    • Watkins Glen
  • Accessories
    • Seat Accessories
      • Materials
      • Tilting Brackets
      • 5-6 point harness options
      • Supply brackets
      • Headrests
      • Trips harness device
      • Lumbar Support
      • Seat Belts
    • Interior Accessories
      • Stopwatches
      • Door Pockets
      • Door Sills
      • Bullet Mirrors
      • Center Console
      • Blinker sets
  • About GTS
  • Contact
  • 702 353 7175

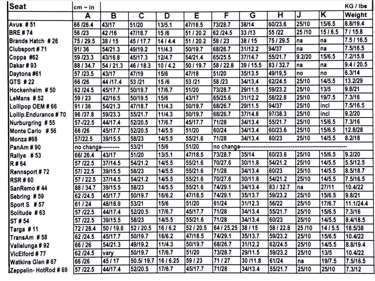
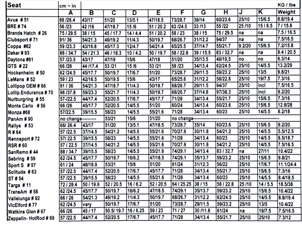
Weight and Dimensions

GTS Classics seats Weight and dimensions
GTS Classics seats Weight and dimensions
Questions? Contact us
Download Excel-Document

Discover

  • Home
  • Classic Seats
  • Weight and dimensions
  • About Us

Legal

  • Legal waiver & return policy

More

  • Dealers
  • Links

Contact us

702 353 7175
stefan@gtsclassics.com
COPYRIGHT (c) 2005 ClassicCarSeats.com